
只需自備標準品、抗體對和HRP/AP檢測試劑,輕松制備ELISA。
Innova Biosciences FlexLISA?主要是用于開發和優化雙抗體夾心ELISA,將抗體對分別與Streptavidin和HRP/AP標記,然后將樣本和標記抗體對分別加入預包被Biotin 96孔板,室溫孵育1小時,清洗后加入酶檢測試劑即可實現檢測。
試劑盒組分

自備:標準品、抗體對和HRP/AP檢測試劑
實例數據:
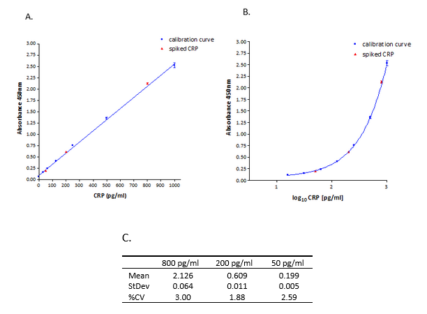
1. 使用LL-HRP標記CRP檢測抗體并使用CRP標準品做校準曲線的ELISA檢測;
檢測試劑:TMB;
標準曲線擬合:線性方程(A)和4參數對數方程(B);
測定800,200和50 pg/ml CRP(C)的批內%CV(n = 24)。

2. 使用LL-HRP和Ampliflu?Red(激發波長:530nm,發射波長:590nm)
作為檢測試劑對CRP的ELISA檢測;

3. 使用LL-AP標記CRP檢測抗體并使用CRP標準品做校準曲線的ELISA檢測;
檢測試劑:PNPP;
標準曲線擬合:線性方程(A)和4參數對數方程(B);
測定800,200和50 pg/ml CRP(C)的批內%CV(n = 24)。

4. 步驟:在鏈酶親和素標記CRP捕獲抗體和HRP/AP標記CRP檢測抗體存在下,耗盡CRP的人血清加到250pg/ml CRP并連續稀釋后加到透明的96條板狀板中;
制備已知量的CRP的標準曲線也加到板中。
TMB和PNPP分別檢測HRP和AP。
計算:擬合標準曲線,通過測量吸光度來確定添加到板中的樣品的CRP濃度。
結果:對于所有稀釋度,計算的CRP量在實際值的10%以內。
